配制酒食用酒精的再处理方法_调制酿造


  根据目前我国的食用酒精标准,其水平还是较低的,往往在加水稀释后,会有不愉快的气味;在调制成配制酒而未经贮存时,往往会出现平常所说的“酒精味”。故对食用酒精的再处理,是完全必要的。具体方法如下。

  (1)进一步精馏除杂 即将符合GB 10343标准的普通级食用酒精,再行精馏成特级或优级食用酒精。实际目前国内有些酒精厂也已具备生产特级超中性酒精的条件。在1999年4月召开的中国酿酒协会酒精分会一届七次理事会上,提出了新的食用酒精标准,即将食用酒精分为特级、优级及普级三个等级。其中普级也接近于GB 10343-89的优级水平。关于高纯度食用酒精精馏制取的详细内容,可叁见本书“四”中第11题。

  (2)氧化复蒸法其原理及操作过程包括:

  ①原理:酒精中的甲醇、甲醛、乙醛等被高锰酸钾氧化成酸;酸又被氢氧化钠中和成盐;酯类被氢氧化钠皂化分解为盐及乙醇;经蒸馏后,不挥发的盐类及二氧化锰等残留于废液中。

  ②高锰酸钾及氢氧化钠用量的测定

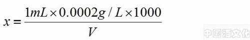
  1)高锰酸钾用量的测定:在lOOmL三角瓶中,用移液管加入浓度为0.02%的高锰酸钾溶液1mL。在不断摇动的同时,用滴定管将待处理酒精以1min 20~30滴的速度滴入三角瓶中,直至瓶内液体呈淡黄色,即为终点。并按下式计算待处理酒精的高锰酸钾应加量。

配制酒食用酒精的再处理方法_调制酿造

式中 x——表示1L待处理酒精应加的高锰酸钾量(g/L)

   V——滴定时消耗酒精的体积(mL)

   1000——表示将V中每毫升折合为升的系数

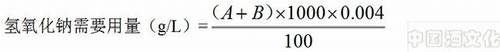
  2)氢氧化钠用量的测定:用移液管吸取lOOmL待处理酒精,置于容量为500mL的三角瓶中,并滴入2滴酚酞指示剂。再用0. 1mol/L的氢氧化钠逐渐滴至微红色,并记下耗用该氢氧化钠溶液的毫升数为A。然后,往三角瓶中加入O.lmol/L氢氧化钠溶液lOmL,并在三角瓶上配以回流冷凝器,将三角瓶置于沸水浴中回流皂化th。取出三角瓶经冷却后,用吸管加入lOmL的O.lmol/L硫酸溶液。最后再用O.lmol/L氢氧化钠溶液滴至三角瓶内溶液呈微红色,并在0.5min内不消失为其终点,记下第2次滴定时耗用的0. 1mol/L氢氧化钠溶液mL数为B。1L待处理酒精需用氢氧化钠量,可用下式表示。

配制酒食用酒精的再处理方法_调制酿造

式中 0.004——表示1mL的O.lmo/L氢氧化钠溶液所含氢氧化钠的克数

  ③操作过程:将待处理酒精加净化水稀释至酒精体积分数为30%~35%,按高锰酸钾的应加量,加入浓度为2%的高锰酸钾溶液,并按氢氧化钠的应加量的一半,加入浓度为3%的氢氧化钠溶液,进行搅拌或通气30min后,静置、中和6h。再加另一半氢氧化钠溶液,搅拌lOmin后,立即进行复蒸。通常采用间歇蒸馏塔或釜式蒸馏器。在蒸馏过程中,应接取酒精体积分数为60%~85%的中段馏出液用于生产配制酒。因酒头(初馏出液)含有较多的甲醇、挥发酯,故摘除量约为酒精总量的3%;酒精体积分数在60%以下的馏出液,因其含有较多量的杂醇油、有机酸及高级脂肪酸酯,故可与上批摘取的酒尾混合,转入下一批的氧化复蒸法处理。

  (3)吸附法其原理为:

  ①桦木炭吸附:将桦木灼烧至冒青烟、炭化至红透后,迅速冷却、打碎,并筛除炭灰,以清水冲洗至无色,晒干后,装于设有栅板的3个串联柱中。将稀释至酒精体积分数为45%的待处理酒精,泵经吸附柱,并取样检验其质量。若不合格,可重复处理1次。通常要求酒精在吸附柱中至少停留2h,在旧炭吸附柱中需更长时间。经较长时间使用的桦木炭,需用水洗涤,并用蒸汽吹干后,可重复使用。

  ②活性炭吸附:应购用以核桃壳、椰子壳制成的吸附型活性炭,其粒径为6~14mm。经浓度为0.1%的盐酸冲洗后,用清水冲洗至pH6.5。再经干燥后即可加至待体积分数为40%~50%的待处理酒精中。其加量和吸附时间应以小试验结果确定:通常,将待处理酒精中加入0.2%~0.5%的活性炭,搅拌数次后,静置吸附1~2d。再抽取上清液,经布袋滤除少量活性炭即可。使用过的活性炭,经水洗、蒸汽烘干后,可如此重复使用数次。

  ③橡木粉吸附:其吸附效果不及桦木炭和活性炭,但可赋予酒精特殊的橡木香味。将橡木粉用浓度为5%的盐酸溶液浸泡1~2d后,再用浓氨水中和至中性,并经高温烘干,排除氨气,即可加于待处理酒精中。其用量为0.1%~0.4%,处理时间至少为3~5d,上清液经过滤即可。

  (4)活性炭、高锰酸钾并用法 在待酒精体积分数为57%~65%的待处理酒精中,加入0.03%~0.04%的粉末状活性炭,搅拌后静置吸附24h,再行过滤;然后加入按预测用量计算的高锰酸钾溶液,充分搅拌,静置8h后,进行复蒸,取中馏段酒精液备用。