有关电感怎么串联与并联的方法,两个电感串联,两个电感并联后的等效电感是多少,如何计算串并联后的等效电感,可以参考本文教程中给出的方法。
电感串联与并联的方法
1、电感的串联
图1(a)所示为两个电感串联,对于每一个电感,具有相同的电流,电流电压关系满足,

图1 电感串联
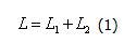
故两个电感串联,等效电容为

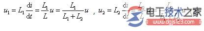
等效电路如图1(b)所示。电感串联时每个电感上的电压满足

2、电感的并联
图(a)所示为两个电感并联,对于每一个电感,具有相同的电压,电流电压关系满足,

故两个电感并联,等效电感为

(3)
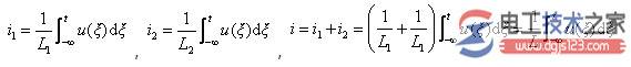
等效电路如图(b)所示。电感并联时每个电感上的电流满足

(4)
图2 电感并联
注意:
以上为两个电容或两个电感的串联和并联等效,但其结论可以推广到 n 个电容或 n 个电感的串联和并联等效。