有关电容式传感器的灵敏度与非线性误差,单级变隙电容的相对变化量,要提高灵敏度,应减小d0,但非线性误差却增大,不了解的朋友参考下。
电容式传感器的灵敏度
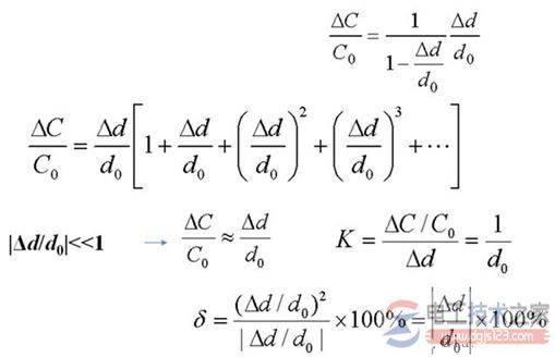
1、单级变隙电容的相对变化量:

2、非线性误差:
结论:要提高灵敏度,应减小d0,但非线性误差却增大。
3、差动式结构:


以电容器为敏感元件,将机械位移量转换为电容量变化的传感器称为电容式位移传感器。
电容传感器的形式很多,常使用变极距式电容传感器和变面积式电容传感器进行位移测量。
有关电容式传感器的灵敏度与非线性误差,单级变隙电容的相对变化量,要提高灵敏度,应减小d0,但非线性误差却增大,不了解的朋友参考下。
1、单级变隙电容的相对变化量:

2、非线性误差:
结论:要提高灵敏度,应减小d0,但非线性误差却增大。
3、差动式结构:


以电容器为敏感元件,将机械位移量转换为电容量变化的传感器称为电容式位移传感器。
电容传感器的形式很多,常使用变极距式电容传感器和变面积式电容传感器进行位移测量。