本文介绍了交流电的各种计算公式,交流电路的计算公式大全,包括正弦交流电压、正弦交流电流、纯电阻电路、纯电感电路等的计算公式,一起来学习下。
交流电路的计算公式
|
周
期 和 频 率 |
|
![]() |
||||||||||||||
|
正
弦 交 流 电 压 |
U=Umsin(ωt+τu) 式中:u--电压瞬时值(V) ------Um-电压最大值(V) ------τu-角频率(rad/s) |
![]() |
||||||||||||||
|
正
弦 交 流 电 流 |
Imsin(ωt+τi) 式中:u---电压瞬时值(V) ------Um--电压最大值(V) ------τu-电流初相角(rad) |
![]() |
||||||||||||||
|
最
大 值 、 有 效 值 、 平 均 值 |
|
![]() |
||||||||||||||
|
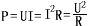
纯
电 阻 电 路 |
|
![]() |
||||||||||||||
|
纯
电 感 电 路 |
|
![]() |
||||||||||||||
|
纯
电 容 电 路 |
|
![]() |
||||||||||||||
|
RLC
并 联 电 阻 |
|
![]() |
||||||||||||||
|
等
效 阻 抗 与 等 效 导 纳 变 换 |
|
![]() |
||||||||||||||
|
等
效 阻 抗 与 等 效 导 纳 变 换 |
|
![]() |
||||||||||||||
|
Y-△阻
抗 变 换 |
|
![]() |
||||||||||||||
|
Y-△阻
抗 变 换 |
|
![]() |
||||||||||||||

-角频率(rad/r)







L



















