有关变压器工作原理,变压器损耗的计算公式,变压器利用电磁感应原理,在不同的电路中传递电能与传输信号,理想变压器的电动势平衡方程式,以及变压器损耗的计算方法。
变压器工作原理及损耗计算公式
一、变压器的工作原理
变压器---利用电磁感应原理,从一个电路向另一个电路传递电能或传输信号的一种电器是电能传递或作为信号传输的重要元件
1.变压器
变压器可将一种电压的交流电能变换为同频率的另一种电压的交流电能,电压器的主要部件是一个铁心和套在铁心上的两个绕组。

图2 变压器原理图
与电源相连的线圈,接收交流电能,称为一次绕组也叫初级线圈。
与负载相连的线圈,送出交流电能,称为二次绕组也叫次级线圈。
设
一次绕组的 二次绕组的
电压相量 U1 电压相量 U2
电流相量 I1 电流相量 I2
电动势相量 E1 电动势相量 E2
匝数 N1 匝数 N2
同时交链一次,二次绕组的磁通量的相量为 φm ,该磁通量称为主磁通
请注意 图2 各物理量的参考方向确定。
理想变压器计算公式(电动势平衡方程式)
不计一次、二次绕组的电阻和铁耗,其间耦合系数 K=1 的变压器称之为理想变压器。
二、变压器损耗的计算公式
描述理想变压器的电动势平衡方程式为
e1(t) = -N1 d φ/dt
e2(t) = -N2 d φ/dt
若一次、二次绕组的电压、电动势的瞬时值均按正弦规律变化,
则有

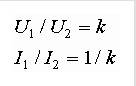
不计铁心损失,根据能量守恒原理可得

由此得出一次、二次绕组电压和电流有效值的关系

令 K=N1/N2,称为匝比(亦称电压比),则
