磁感应强度(磁场强度)计算公式
定义:反应磁场强弱的物理量称为磁感应强度(磁通密度),用大写字母B表示,其定义为:在磁场中,垂直于磁场方向的通电导体受到的磁场作用与电流强度和导体长度乘积的比值,叫做通电直导线所在处的磁感应强度的大小。
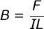
其数学表达式为:

磁感应强度公式中:
F:表示载流导线所受的电磁力,单位:牛顿(N);
I:表示导线中通过的电流,单位:安倍(A);
L:表示与磁场方向垂直的导线长度,单位:米(m);
B:表示导线所在位置的磁感应强度,单位:特斯拉,简称特,以大写字母“T”表示,或者韦伯/米?(Wb/m?)。
数量解释:1特斯拉在数值上等于长度为1米并与磁场相垂直的导线,通过1安倍电流时,它所受的电磁力为1牛顿(N)时的磁场感应强度。磁感应强度B是个矢量,其方向就是磁针在磁场中某点静止时N极别所指的方向。
若在磁场中的各点处,载流导线所受到的电场力F的大小相等,方向相同,这就表明磁场中各点的磁感应强度都相同。这样的磁场称为均匀磁场,对均匀磁场可用疏密均匀、方向相同的磁力线表示。