有关白炽灯电阻的相关知识,白炽灯的电阻一般是是多少,如何来计算白炽灯的电阻,在不同的环境温度下,白炽的电阻大不是否有较大的差异,一起来了解下。
白炽灯电阻的计算方法
根据功率计算公式,来计算下白炽灯的电阻大小。

由功率计算公式推算出:

电阻是484Ω,但实测却是42Ω,相差10倍。
在计算白炽灯的电阻时,有一个关键要素不能忽略,那就是温度。
以上计算出的阻值是白炽灯工作(高温)时的温度,而测量的阻值却是不工作(常温)下的阻值。
常温下的环境温度是20多度,而白炽灯工作时钨丝温度可达2000多度,导体电阻大小和材料电阻率、导体长度、导体横截面积、温度有关。
大多数金属材料温度越高,电阻越大,比如铜在高温时的电阻比常温情况下要高很多,铜线在高温环境下通过的电流比常温下要低。
白炽灯常温电阻的计算公式
在常温环境与高温环境下,电阻与温度的关系是怎么样的,可以来推算一下。
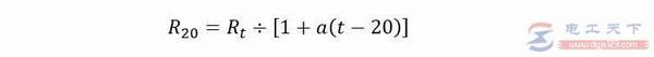
计算公式:

其中,R20表示导体20度时的电阻大小;Rt表示某温度下导体电阻大小;a表示温度系数(即电阻大小随温度变化快慢的系数);t表示温度。
钨丝的温度系数为0.0045,白炽灯工作时温度可达2000多度(这里按2020度计算)。
把数据代入计算公式:

可见,在温度为20度时,白炽灯的电阻大约为48Ω,与测量得出的结果相差不大。
总结
白炽灯在常温下的电阻比工作时小得多。
根据欧姆定律,白炽灯在启动瞬间的电流较大,随着灯丝温度升高,电流会恒定在某一个数值,白炽灯在开灯瞬间易烧断便是这个原因。
在一些冷库中的白炽灯,在使用过程中容易烧坏,就是由于冷库环境温度较低,灯丝电阻较小,工作电流比额定电流大,才会导致经常有烧坏的问题出现。
以上介绍了白炽灯电阻的计算公式及计算方法,希望对大家有所帮助。