【三相感应电动机的电压方程及相量图】
三相感应电动机的理论知识,频率归算与绕组归算的方法,用T型等值电路分析感应机的方法及注意事项。
一、频率归算:
保持整个系统的电磁性能不变,把一种频率的参数及有关物理量折算成另一种频率的参数及物理量。即用一个具有定子频率而等值于转子的电路去代替实际的转子电路。这必须保证:
1).转子磁动势F2不变(同转速,同幅值,同空间相位角)。
2).等值的转子电路的电磁性能(有功功率,无功功率,铜耗等)必须与实际转子一样。
分析:
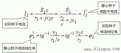
,表明用静止的转子代替实际的转子。
1).对
:转速不受影响;
幅值和空间相位角:只要用
代替
就能保证幅值和空间相位角不变。

2).电磁性能:用
代替
后,相当于在转子电路中串入了一个附加电阻
,它会产生损耗,而实际转子电路并不存在这部分损耗,据能量守恒,这部分功率表示转子获得的总的机械功率。
二、绕组归算:
定转子间,E1不等于E2,无等电位点,用一个相数、每相串联总匝数及绕组系数均与定子一样的绕组电路代替经频率归算后的静止转子电路,且保证归算前后转子对定子的电磁效应不变,即转子磁势,转子总视在功率,转子铜耗及转子漏磁场储能均不变。
1.转子磁动势不变:
2.转子总视在功率不变:
3.转子铜耗和漏磁场储能不变:
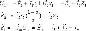
基本方程式为:

三、T型等值电路、相量图为:

用T型等值电路分析感应机几种典型运行情况:
空载运行;额定负载运行;起动运行;发电运行;电磁制动运行。
感应电动机的相量图:感应电动机的功率因数永远滞后。定子电流滞后电源电压。