电场强度的三个公式
1、E=F/q,该公式为电场强度的定义式,适用于计算任何电场的电场强度。
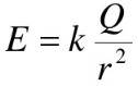
2、
,该公式适用于计算点电荷形成电场的电场强度。
3、E=U/d,该公式适用于计算匀强电场的电场强度。
电场强度公式考察最多的是计算匀强电场强度公式E=U/d,前面二个一般在选择题中定性分析比较多。
电场强度的三个公式
1、E=F/q,该公式为电场强度的定义式,适用于计算任何电场的电场强度。
2、
,该公式适用于计算点电荷形成电场的电场强度。
3、E=U/d,该公式适用于计算匀强电场的电场强度。
电场强度公式考察最多的是计算匀强电场强度公式E=U/d,前面二个一般在选择题中定性分析比较多。