有关异步电动机等效电路的参数定义,异步电动机等效电路的转矩公式,异步电动机等效电路的同步机械角转速,需要的朋友参考下。
一、异步电动机等效电路的参数定义
Rs、R’r ——定子每相电阻和折合到定子侧的转子每相电阻;
Lls、L’lr ——定子每相漏感和折合到定子侧的转子每相漏感;
Lm——定子每相绕组产生气隙主磁通的等效电感,即励磁电感;
Us、 ——定子相电压和供电角频率;
s ——转差率。

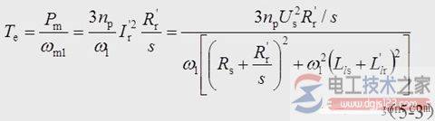
二、异步电动机等效电路的转矩公式
令电磁功率:Pm = 3Ir'2 Rr' /s
三、异步电动机等效电路的同步机械角转速
式中 np —极对数,则异步电机的电磁转矩为

上式就是异步电机的机械特性方程式。它表明,当转速或转差率一定时,电磁转矩与定子电压的平方成正比。