【工厂电工计算工厂设备电功率的方法】
工厂设备电功率的计算公式
作为工厂电工要知道如何计算有关的用电功率,通过这些对于电工的用电的功率方面的计算,要看到电工在作业方面对于功率的重要性。
一方面是用电功率是决定以后企业长期的发展和应用的根本,很多机械设备其实在功率方面都是比较高的,也应该要通过这些设备的功率来看下如何进行供电方面的配置的问题。
一般是工厂里面会有很多的机床设备,而这些机床设备的功率我们要善于去好好计算下,通过自己的计算也会慢慢知道如何去使用了。
在现在的很多电工严重,将这些功率全部都加起来就可以了,其实这也是不对的,对于用电的设备来说,我们一方面是要将所有的电器设施都要计算上,里面的机床同样是很关键的,还有电焊机等等,都是应该要注意到的。
我们在计算好这些功率以后,其实有经验的电工是要有一个系数的,这个系数就是为在以后增加机床设备使用到的,这里面甚至是要与公司的老总进行下沟通,知道下公司有什么样的要求的,我们同样要按照这些要求来执行的。在知道了他们以后的发展计划以后,也是可以很顺利地确定下来最终的功率了。
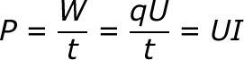
功率计算公式
拿喝水的例子来说明:既然总共在10秒内喝了一大碗水,那么也就比作是10秒内做了一定量的电功,那么计算公式就显而易见了,将电功除以时间,所得的数值便是用电设备的电功率啦:

上面的计算公式中P代表电功率,它的大小取决于电压U和电流I两个量的乘积,上面公式中各个字母所代表的含义如下:
P——电功率,单位(W)瓦特
U——电压,单位(V)伏特
I——电流,单位(A)安培
q——电荷,单位(C)库伦