【怎么计算电流大小及进行电流单位换算?】
如何计算电流的大小,如何进行电流单位间的换算,来看下小编整理的电流计算小知识:电流计算公式及电流单位换算方法,希望对大家有所帮助。
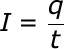
电流计算公式
(相关阅读:三相电流计算公式 三相电(380V)功率、电压与电流计算 电流计算公式与电流单位换算方法 家庭用电电流计算公式 )
电流的大小是用单位时间内通过导线横截面的电量(电流强度)来衡量,公式中通常用大写字母I表示电流。用q表示单位时间内(字母t表示)通过导线横截面的电量。电流计算公式如下:

公式中,t作为时间单位用秒(s)计,电量q的单位用库伦(c),而电量I的单位就是安培(A),这个大家初中都学过的。
电流单位换算
电流的单位安培包括毫安(mA)、微安(μA)和千安(kA),换算如下:
1kA=1000A、1A=1000mA、1mA=1000μA
层层下降,往下一个低级单位换算就除1000即可,重要的是理顺kA、A、mA、μA之间的大小顺序。电流的大小除了通过计算得到外也可以用电工工具:电流表进行测量(一般用万能表电流档),这个以后会介绍。
应用中的电流方向
大小和方向都不随时间变化而改变的电流叫直流电流。
直流嘛,就像直线一样很平坦不会。而大小和方向随时间变化而变化的电流则成为交流电流,注意:交流电流的在公式中的符号是小些的“i”表示。
要点:由于电流方向是客观存在的,但有时候电工分析较为复杂的电路时往往难以立马判断出某支路中电流的实际方向(也就是正电荷移动方向),但为了方便分析通常会任意假设一个方向作为电流的正方向(这个方向也称为参考方向),
当电流的实际反响与其正方向一致时,分析计算出的电流值就是正值(就是大于零的数),反之当电流实际方向与假设的参考方向相反时,电流就是负数了。
电流参考方向在电路图上一般使用“→”表示的,图纸上的方向一般都是指参考方向。