电势公式的推导与电势能的公式
分析几种电荷分布产生的的电势公式:
1、均匀分布的球面电荷(球面半径为r。带电量为q)
电势分布公式为:

2、均匀分布的球体电荷(球体的半径为r,带电量为q)
电势分布公式为:

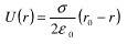
3、均匀分布的无限大平面电荷(电荷面密度为sigma)
电势分布公式为:

其中假设r0处为零电势参考点。若选取原点为零电势参考点。即u0=0,那么其余处的电势公式为:

4、均匀分布的无限长圆柱柱面电荷
电势分布公式为:

电势公式的推导:
电荷周围产生的静电场的电势差与电势的公式与推导:
一场源点荷为q,在距q为r的a点有一点电荷为q,求证:此a处电势φ=kq/r。
证明:设无穷远处电势为0,则在电场力的作用下,q从r处运动到无穷远,电场力做功为qu。
将a到无穷远这段距离无限等分最远处距离为r0,a 处为rn,(0,1,2,……n为下标)。
①式子:kqq*(r(n-1)-rn)/rn^2+kqq*(r(n-2)-r(n-1))/r(n-1)^2+……+kqq*(r2-r3)/r3^2+kqq*(r1-r2)/r2^2+kqq*(r0-r1)/r1^2=qu。
②式子:kqq*(r(n-1)-rn)/(rn*r(n-1))+kqq*(r(n-2)-r(n-1))/(r(n-1)*r(n-2))+……+kqq*(r2-r3)/(r3*r2)+kqq(r1-r2)/(r2*r1)+kqq*(r0-r1)/(r1*r0)=qu。
因此,kq/rn-kq/r(n-1)+kq/r(n-1)-kq/r(n-2)+……+kq/r3-kq/r2+kq/r2-kq/r1+kq/r1-kq/r0=u ,kq/rn-kq/r0=u,kq/rn-0=φ-0 φ=kq/rn,即φ=kq/r。

图1:电势公式的推导
电势能的公式:ep=wao=q·φa.(ep表示电势能):当φa>0时,q>0,则εp>0,q<0,则εp<0;当φa<0时,q>0,则εp<0,q<0,则εp>0。